Формула
Основную формулу закона Ома можно представить в математическом варианте. При помощи закона Ома вполне возможно определить, какие изменения произойдут с силой тока на определенном участке цепи, при изменениях напряжения и сопротивления на этом же участке:
- Согласно приведенной формуле, при увеличении напряжения на концах участка электрической цепи, сила тока на этом участке также будет возрастать. Во сколько раз может уменьшиться или увеличиться напряжение, во столько же уменьшается или увеличивается сила тока. Такие изменения возможны при условии постоянного сопротивления.
- В том случае, когда напряжение остается неизменным, сила тока переходит в зависимость от значения сопротивления. То есть, при возрастании сопротивления на каком-либо определенном участке цепи начинает пропорционально уменьшаться. Если сопротивление уменьшается, то сила тока, соответственно, возрастает.
В случае превышения допустимого значения для конкретного участка цепи все приборы, включенные в эту цепь, могут выйти из строя. При этом, провода раскаляются, вплоть до возгорания. Данная ситуация является классической при возникновении короткого замыкания, когда две точки цепи, находящиеся под напряжением, соединяются проводником, имеющим очень небольшое сопротивление.
Формула закона Ома позволяет избежать подобных ситуаций, предполагая предварительное определение сопротивления для того или иного участка электрической цепи. Для того, чтобы определить это значение, необходимо измерить на данном участке сначала напряжение, а, затем силу тока. После этого, первую величину необходимо разделить на вторую. Полученный результат и будет тем значением сопротивления.
При определении напряжения на концах цепи, нужно значение силы тока умножить на значение напряжения.

Закон Джоуля-Ленца

Закон электромагнитной индукции формула

Закон Ома для переменного тока

Закон Ома для полной цепи

Калькулятор для расчета Закона Ома

Закон Фарадея для электролиза
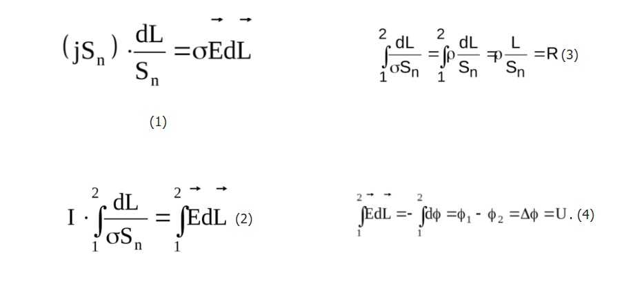
Закон Ома в интегральной форме
Для работы с этой методикой можно воспользоваться дифференциальным выражением (J = p*E).
Пояснительные данные к интегральной форме расчета
Базовую формулу преобразуют следующим образом:
- в обе части добавляют множитель, учитывающий элементарный отрезок длины проводника (dL);
- взяв первый интеграл по контрольным точкам, получают итоговое значение для сопротивления: R = p*(L/S);
- совмещают две формулы (1 и 2), выполняют математическое преобразование;
- интеграл второй части определит значение напряжения.
Итоговый результат соответствует определению классического вывода Ома, где взаимная связь u r I обоснована результатом экспериментов (I = U/R).
Принятые единицы измерения
При использовании закона Ома для практических расчетов все математические вычисления выполняются в установленных единицах измерений для всех 3-х величин:
- Сила тока – в амперах (А).
- Напряжение – в вольтах (В/V).
- Сопротивление – в омах (Ом).
Исходные данные и другие параметры, представленные в единицах, должны переводиться в общепринятые значения.
Действие основных единиц и физическое соблюдение закона Ома невозможно в следующих ситуациях:
- Наличие высоких частот, при которых электрическое поле изменяется с большой скоростью.
- Низкотемпературный режим и сверхпроводимость.
- Сильно разогретые спирали ламп накаливания, когда отсутствует линейность напряжения.
- Пробой проводника или диэлектрика, вызванный высоким напряжением.
- Электронные и вакуумные лампы, заполненные газами.
- Полупроводники с р-п-переходами, в том числе, диоды и транзисторы.
Сила тока
Сила тока возникает при наличии частиц со свободными зарядами. Они перемещаются через поперечное сечение проводника из одной точки в другую. Источник питания создает электрическое поле, под действием которого электроны начинают двигаться упорядоченно.
Таким образом, сила тока является количеством электричества, проходящего через определенное сечение за единицу времени. Увеличить этот показатель можно путем увеличения мощности источника тока или изъятия из цепи резистивных элементов.
Международная единица СИ для тока – ампер. Это довольно большая величина, поскольку для человека смертельно опасными считаются всего 0,1 А. В электротехнике малые величины могут выражаться в микро- и миллиамперах.
Кроме того, сила тока может записываться с помощью основной формулы, когда известны значения напряжения и сопротивления. В числом виде она будет гласить следующее:
I = U/R
Сопротивление
Рассматривая закон ома для участка цепи, нельзя забывать о таком понятии, как сопротивление. Данная величина считается основной характеристикой проводника, поскольку именно сопротивление влияет на качество проводимости. Разные материалы проводят ток лучше или хуже. Это объясняется неоднородностью их структуры, различиями в кристаллических решетках. Поэтому в одних случаях электроны движутся с большей скоростью, а в других – с меньшей.
Собственным электрическим сопротивлением обладают все проводники, находящиеся в твердом, жидком, газообразном и плазменном состоянии. У каждого из них своя характеристика, называемая удельным сопротивлением. Данная величина отражает способность каждого материала к сопротивлению. За эталон принимается проводник длиной 1 м с поперечным сечением 1 м².
По закону Ома на участке цепи эта величина определяется: R = U/I.
Напряжение
Напряжение относится к важным характеристикам электрического тока, протекающего в проводнике. С физической точки зрения, это работа электрического поля, которое перемещает заряд на какое-то расстояние. В электротехнике напряжением считается разность потенциалов между двумя точками участка цепи. На практике эта величина служит для определения возможности подключения к сети потребителей электроэнергии, продолжительность их работы в этом состоянии.
В электрической цепи напряжение возникает следующим образом:
- Вначале цепь подключается к источнику тока путем соединения с двумя полюсами. Это может быть генератор или батарея.
- На одном полюсе или клемме – избыточное количество электроном, а на другом – их недостает. Первый условно считается положительным, второй – отрицательным.
- Электрическое поле источника энергии воздействуют на электроны положительного полюса и самого проводника, заставляя их двигаться в сторону отрицательного полюса и притягиваться к нему. Такое притяжение происходит из-за положительного заряда на этом полюсе, поскольку электроны здесь отсутствуют.
- Между обеими клеммами возникает разность потенциалов с определенным значением, что приводит к упорядоченному движению электронов в проводниках и подключенных нагрузках. Постепенно избыток электронов положительного полюса уменьшается, соответственно, снижается и потенциал. Характерным примером служит аккумуляторная батарея. При подключении нагрузки, ее потенциал будет падать, вплоть до полной разрядки. Для восстановления первоначальных свойств, потребуется подзарядка от постороннего источника тока.
При неизменной мощности источника энергии, значение напряжения может быть разным под действием следующих факторов:
- Материал соединительных проводников. У каждого свой вольтамперный график.
- Количество потребителей, подключенных к сети.
- Температура окружающей среды.
- Качество монтажа самой сети.
Отдельный участок и полная электрическая цепь
Закон Ома, применительно к участку или всей цепи, может рассматриваться в двух вариантах расчетов:
- Отдельный краткий участок. Является частью схемы без источника ЭДС.
- Полная цепь, состоящая из одного или нескольких участков. Сюда же входит источник ЭДС со своим внутренним сопротивлением.
Расчет тока участка электрической схемы
В этом случае применяется основная формула I = U/R, в которой I является силой тока, U – напряжением, R – сопротивлением. По ней можно сформулировать общепринятую трактовку закона Ома:
Данная формулировка является основой для многих других формул, представленных на так называемой «ромашке» в графическом исполнении. В секторе Р – определяется мощность, в секторах I, U и R – проводятся действия, связанные с силой тока, напряжением и сопротивлением.
Каждое выражение – и основное и дополнительные, позволяют рассчитать точные параметры элементов, предназначенных для использования в схеме.
Специалисты, работающие с электрическими цепями, выполняют быстрое определение любого из параметров по методике треугольников, изображенных на рисунке.
В расчетах следует учитывать сопротивление проводников, соединяющих между собой элементы участка. Поскольку они изготавливаются из разных материалов, данный параметр будет отличаться в каждом случае. Если же потребуется сформировать полную схему, то основная формула дополняется параметрами источника напряжения, например, аккумуляторной батареи.
Вариант расчета для полной цепи
Полная цепь состоит из отдельно взятых участков, объединенных в единое целое вместе с источником напряжения (ЭДС). Таким образом, существующее сопротивление участков дополняется внутренним сопротивлением подключенного источника. Следовательно, основная трактовка, рассмотренная ранее, будет читаться следующим образом: I = U / (R + r). Здесь уже добавлен резистивный показатель (r) источника ЭДС.
С точки зрения чистой физики этот показатель считается очень малой величиной. Однако, на практике, рассчитывая сложные схемы и цепи, специалисты вынуждены его учитывать, поскольку дополнительное сопротивление оказывает влияние на точность работы. Кроме того, структура каждого источника очень разнородная, в результате, сопротивление в отдельных случаях может выражаться достаточно высокими показателями.
Приведенные расчеты выполняются применительно к цепям постоянного тока. Действия и расчеты с переменным током производятся уже по другой схеме.
Действие закона к переменной величине
При переменном токе сопротивление цепи будет представлять из себя так называемый импеданс, состоящий из активного сопротивления и реактивной резистивной нагрузки. Это объясняется наличием элементов с индуктивными свойствами и синусоидальной величиной тока. Напряжение также является переменной величиной, действующей по своим коммутационным законам.
Следовательно, схема цепи переменного тока по закону Ома рассчитывается с учетом специфических эффектов: опережения или отставания величины тока от напряжения, а также наличия активной и реактивной мощности. В свою очередь, реактивное сопротивление включает в себя индуктивную или емкостную составляющие.
Все этим явлениям будет соответствовать формула Z = U / I или Z = R + J * (XL – XC), в которой Z является импедансом; R – активной нагрузкой; XL , XC – индуктивной и емкостной нагрузками; J – поправочный коэффициент.
Закон Ома для переменного тока
При расчете цепей переменного тока вместо понятия сопротивления вводят понятие «импеданс». Импеданс обозначают буквой Z, в него входит активное сопротивление нагрузки Ra и реактивное сопротивление X (или Rr). Это связано с формой синусоидального тока (и токов любых других форм) и параметрами индуктивных элементов, а также законов коммутации:
- Ток в цепи с индуктивностью не может измениться мгновенно.
- Напряжение в цепи с ёмкостью не может измениться мгновенно.
Таким образом, ток начинает отставать или опережать напряжение, и полная мощность разделяется на активную и реактивную.
U=I/Z

XL и XC – это реактивные составляющие нагрузки.
В связи с этим вводится величина cosФ:

Здесь – Q – реактивная мощность, обусловленная переменным током и индуктивно-емкостными составляющими, P – активная мощность (выделяется на активных составляющих), S – полная мощность, cosФ – коэффициент мощности.
Возможно, вы заметили, что формула и её представление пересекается с теоремой Пифагора. Это действительно так и угол Ф зависит от того, насколько велика реактивная составляющая нагрузки – чем её больше, тем он больше. На практике это приводит к тому, что реально протекающий в сети ток больше чем тот, что учитывается бытовым счетчиком, предприятия же платят за полную мощность.
При этом сопротивление представляют в комплексной форме:
Здесь j – это мнимая единица, что характерно для комплексного вида уравнений. Реже обозначается как i, но в электротехнике также обозначается и действующее значение переменного тока, поэтому, чтобы не путаться, лучше использовать j.
Мнимая единица равняется √-1. Логично, что нет такого числа при возведении в квадрат, которого может получиться отрицательный результат «-1».
В дифференциальной форме
Формулу очень часто представляют в дифференциальном виде, поскольку проводник обычно неоднородный и потребуется разбить его на минимально возможные участки. Ток, проходящий через него, связан с величиной и направлением, поэтому считается скалярной величиной. Всякий раз, когда нужно найти результирующий ток через провод, берут алгебраическую сумму всех отдельных токов. Поскольку это правило действует только для скалярных величин, ток принимают также в качестве скалярной величины. Известно, через сечение проходит ток dI = jdS. Напряженье, на нем равняется Еdl, тогда для провода с постоянным сечением и равной протяженности будет верно соотношение:

Поэтому, выражение тока в векторном виде будет: j = E.
Важно! В случае металлических проводников с ростом температуры проводимость падает, а для полупроводников — растет. Омовский закон не демонстрирует строгую пропорциональность. Сопротивление большой группы металлов и сплавов исчезает при температуре, близкой к абсолютному нулю, а процесс называется сверхпроводимостью
Сопротивление большой группы металлов и сплавов исчезает при температуре, близкой к абсолютному нулю, а процесс называется сверхпроводимостью.
Параллельное и последовательное соединение
В электрике элементы соединяются либо последовательно — один за другим, либо параллельно — это когда к одной точке подключены несколько входов, к другой — выходы от тех же элементов.

Закон Ома для параллельного и последовательного соединения
Последовательное соединение
Как работает закон Ома для этих случаев? При последовательном соединении сила тока, протекающая через цепочку элементов, будет одинаковой. Напряжение участка цепи с последовательно подключенными элементами считается как сумма напряжений на каждом участке. Как можно это объяснить? Протекание тока через элемент — это перенос части заряда с одной его части в другую. То есть, это определенная работа. Величина этой работы и есть напряжение. Это физический смысл напряжения. Если с этим понятно, двигаемся дальше.

Последовательное соединение и параметры этого участка цепи
При последовательном соединении приходится переносить заряд по очереди через каждый элемент. И на каждом элементе это определенный «объем» работы. А чтобы найти объем работы на всем участке цепи, надо работу на каждом элементе сложить. Вот и получается, что общее напряжение — это сумма напряжений на каждом из элементов.
Точно так же — при помощи сложения — находится и общее сопротивление участка цепи. Как можно это себе представить? Ток, протекая по цепочке элементов, последовательно преодолевает все сопротивления. Одно за другим. То есть чтобы найти сопротивление, которое он преодолел, надо сопротивления сложить. Примерно так. Математический вывод более сложен, а так понять механизм действия этого закона проще.
Параллельное соединение
Параллельное соединение — это когда начала проводников/элементов сходятся в одной точке, а в другой — соединены их концы. Постараемся объяснить законы, которые справедливы для соединений этого типа. Начнем с тока. Ток какой-то величины подается в точку соединения элементов. Он разделяется, протекая по всем проводникам. Отсюда делаем вывод, что общий ток на участке равен сумме тока на каждом из элементов: I = I1 + I2 + I3.
Теперь относительно напряжения. Если напряжение — это работа по перемещению заряда, тоо работа, которая необходима на перемещение одного заряда будет одинакова на любом элементе. То есть, напряжение на каждом параллельно подключенном элементе будет одинаковым. U = U1=U2=U3. Не так весело и наглядно, как в случае с объяснением закона Ома для участка цепи, но понять можно.

Законы для параллельного соединения
Для сопротивления все несколько сложнее. Давайте введем понятие проводимости. Это характеристика, которая показывает насколько легко или сложно заряду проходить по этому проводнику. Понятно, что чем меньше сопротивление, тем проще току будет проходить. Поэтому проводимость — G — вычисляется как величина обратная сопротивлению. В формуле это выглядит так: G = 1/R.
Для чего мы говорили о проводимости? Потому что общая проводимость участка с параллельным соединением элементов равна сумме проводимости для каждого из участков. G = G1 + G2 + G3 — понять несложно. Насколько легко току будет преодолеть этот узел из параллельных элементов, зависит от проводимости каждого из элементов. Вот и получается, что их надо складывать.
Теперь можем перейти к сопротивлению. Так как проводимость — обратная к сопротивлению величина, можем получить следующую формулу: 1/R = 1/R1 + 1/R2 + 1/R3.
Что нам дает параллельное и последовательное соединение?
Теоретические знания — это хорошо, но как их применить на практике? Параллельно и последовательно могут соединяться элементы любого типа. Но мы рассматривали только простейшие формулы, описывающие линейные элементы. Линейные элементы — это сопротивления, которые еще называют «резисторы». Итак, вот как можно использовать полученные знания:
Если в наличии нет резистора большого номинала, но есть несколько более «мелких», нужное сопротивление можно получить соединив последовательно несколько резисторов. Как видите, это полезный прием.
Для продления срока жизни батареек, их можно соединять параллельно. Напряжение при этом, согласно закону Ома, останется прежним (можно убедиться, измерив напряжение мультиметром). А «срок жизни» сдвоенного элемента питания будет значительно больше, нежели у двух элементов, которые сменят друг друга
Только обратите внимание: параллельно соединять можно только источники питания с одинаковым потенциалом. То есть, севшую и новую батарейки соединять нельзя
Если все-таки соединить, та батарейка которая имеет больший заряд, будет стремиться зарядить менее заряженную. В результате общий их заряд упадет до низкого значения.
В общем, это наиболее распространенные варианты использования этих соединений.
R — электрическое сопротивление
Сопротивление — величина обратная напряжению, ее можно сравнить с эффектом перемещения тела против движения в проточной воде. Единицей R принят «Ом», который обозначается заглавной греческой буквой «Омега».
Обратная величина сопротивления (1 /R) известна как проводимость, которая измеряет способность объекта проводить заряд, выраженную в единицах Siemens.
Используемая геометрически независимая величина называется удельным сопротивлением и обычно обозначается греческим символом r.
Дополнительная информация. Закон Ома помогает установить три важные показателя работы электросети, что упрощает расчет мощности. Он не применим к односторонним сетям имеющих такие элементы, как диод, транзистор и аналогичные им. И также он не применим к нелинейным элементам, примерами которых являются тиристоры, поскольку значение сопротивления этих элементов изменяется при разных данных напряжения и тока.
На более высоких частотах распределенное поведение становится доминирующим. То же самое происходит с очень длинными линиями электропередач. Даже на такой низкой частоте, как 60 Гц, очень длинная линия электропередачи, например, 30 км имеет распределенную природу. Основная причина заключается в том, что действующие электрические сигналы, распространяющиеся в цепях, представляют собой электромагнитные волны, а не вольт и ампер, которые инфицируются электромагнитной волной. Проводники просто действуют как направляющие для волн. Так, например, коаксиальный кабель будет показывать Z = 75 Ом, даже если его сопротивление постоянному току незначительно.
Закон Ома — это фундаментальный закон электротехники. Он имеет большое количество практических применений во всех электроцепях и электронных компонентах.
Наиболее распространённые примеры применения закона Ома:
- Мощность, подаваемая на электрический нагреватель. При условии сопротивления катушки нагревателя и приложенного напряжения, можно рассчитать мощность, подаваемую на этот нагреватель.
- Выбор предохранителей. Они являются компонентами защиты, которые соединяются последовательно с электронными устройствами. Предохранители/ CB рассчитаны в амперах. Текущий рейтинг предохранителя рассчитывается по закону Ома.
- Дизайн электронных устройств. Для электронных устройств, таких как ноутбук и мобильные телефоны, требуется источник питания постоянного тока сопределенным номинальным током. Типичные аккумуляторы для мобильных телефонов требуют 0,7-1 А. Резистор используется для контроля скорости тока, протекающего через эти компоненты. Закон Ома используется для расчета номинального тока в типовой схеме.
В свое время выводы Ома стали катализатором новых исследований в области электричества и сегодня они не утратили свою значимость, поскольку на них базируется современная электротехника. В 1841 году Ом был удостоен высшей награды Королевского общества, медали Копли, а термин «Ом» был признан единицей сопротивления еще в 1872 году.
Интерпретация закона Ома
Чтобы обеспечить перемещение зарядов, нужно замкнуть контур. При отсутствии дополнительной силы ток существовать долго не сможет. Потенциалы быстро станут равными. Чтобы поддерживать рабочий режим цепи, нужен дополнительный источник (генератор, аккумуляторная батарея).
Полный контур будет содержать суммарное электрическое сопротивление всех компонентов. Для точных расчетов учитывают потери в проводниках, резистивных элементах, источнике питания.
Сколько напряжения нужно подать для определенной силы тока, вычисляют по формуле:
U = I * R.
Аналогичным образом с помощью рассмотренных отношений определяют иные параметры схемы.
Закон Ома для неоднородного участка цепи
В реальных условиях для поддержания перемещения зарядов с определенной интенсивностью необходимо приложение сторонних сил, а не только кулоновских. Рассмотренный ниже пример демонстрирует участок замкнутой цепи, который называют неоднородным.
Описание закона
Формулировка этого принципа справедлива для любых двух точек цепи, по которой проходит электрический ток. Для этого примера формула Ома принимает следующий вид:
I = U12/R, где U12 обозначает напряжение между контрольными точками.
С учетом отмеченных на рисунке параметров можно преобразовать итоговое выражение следующим образом:
I = ((ϕ1- ϕ2) ± E)/R12,
где:
- ϕ1- ϕ2 – разница потенциалов;
- Eип – электродвижущая сила, которую характеризуют величина и определенная полярность;
- R12 – полное электрическое сопротивление (проводник + источник ЭДС).
Для пояснения полученного результата следует отметить наличие кулоновских и сторонних сил с векторами ЭДС Eq и Est, соответственно. При перемещении определенного заряда (q) между контрольными точками (1-2) по проводнику будет выполнена работа A12. Зависимости между этими величинами величины можно определить простой формулой:
A12/q = ϕ1 – ϕ2.
Так как ЭДС на участке будет равна работе по перемещению q, справедливо выражение:
Ast/q = E12.
Суммарное значение выполненных действий будет равно напряжению:
U = A12/q + Aип/q = ϕ1 – ϕ2 + E12.
После математического преобразования по закону Ома формула приобретает вид:
I = ((ϕ1- ϕ2) ± E)/R12.
Важно! Значение ЭДС может быть положительным либо отрицательным. Соответствующие изменения зависят от подключения источника в участок с определенной полярностью. Для корректного применения представленных правил можно рассмотреть пример расчета со следующими исходными данными:
Для корректного применения представленных правил можно рассмотреть пример расчета со следующими исходными данными:
- ЭДС – Eип = 5 V;
- потенциалы в отдельных точках – ϕ1 (ϕ2) = 20V (8V);
- электрическое сопротивление цепи – R12 = 4 Ом;
- сопротивление источника питания – Rип = 2 Ом.
Так как направление тока при замыкании цепи выбирается от большего потенциала к меньшему, по представленной на рис. выше схеме ЭДС берут со знаком «минус». Подставленные в рассмотренную формулу исходные данные помогут сделать следующее вычисление:
I = ((ϕ1- ϕ2) – Eип)/(R12 + Rип) = (20 – 8 – 5)/(4 + 2) = 7/6 ≈ 1,17 А.
К сведению. Обратный вариант включения ЭДС при аналогичных исходных параметрах сопровождается изменением знака на «минус».
Практическое использование
Видео: Закон Ома для участка цепи — практика расчета цепей.
Собственно, к любому участку цепи можно применить этот закон. Пример приведен на рисунке.

Применяем закон к любому участку цепи
Используя такой план, можно вычислить все необходимые характеристики для неразветвленного участка. Рассмотрим более детальные примеры. Находим силу тока Рассмотрим теперь более определенный пример, допустим, возникла необходимость узнать ток, протекающий через лампу накаливания. Условия:
- Напряжение – 220 В;
- R нити накала – 500 Ом.
Решение задачи будет выглядеть следующим образом: 220В/500Ом=0,44 А.
Рассмотрим еще одну задачу со следующими условиями:
- R=0,2 МОм;
- U=400 В.
В этом случае, в первую очередь, потребуется выполнить преобразование: 0,2 МОм = 200000 Ом,после чего можно приступать к решению: 400 В/200000 Ом=0,002 А (2 мА). Вычисление напряжения Для решения мы также воспользуемся законом, составленным Омом. Итак задача:
- R=20 кОм;
- I=10 мА.
Преобразуем исходные данные:
- 20 кОм = 20000 Ом;
- 10 мА=0,01 А.
Решение: 20000 Ом х 0,01 А = 200 В.
Незабываем преобразовывать значения, поскольку довольно часто ток может быть указан в миллиамперах.
Сопротивление.
Несмотря на то, что общий вид способа для расчета параметра «R» напоминает нахождение значения «I», между этими вариантами существуют принципиальные различия. Если ток может меняться в зависимости от двух других параметров, то R (на практике) имеет постоянное значение. То есть по своей сути оно представляется в виде неизменной константы.
Если через два разных участка проходит одинаковый ток (I), в то время как приложенное напряжение (U) различается, то, опираясь на рассматриваемый нами закон, можно с уверенностью сказать, что там где низкое напряжение «R» будет наименьшим.
Рассмотрим случай когда разные токи и одинаковое напряжение на несвязанных между собой участках. Согласно закону, составленному Омом, большая сила тока будет характерна небольшому параметру «R».
Рассмотрим несколько примеров.
Допустим, имеется цепь, к которой подведено напряжение U=50 В, а потребляемый ток I=100 мА. Чтобы найти недостающий параметр, следует 50 В / 0,1 А (100 мА), в итоге решением будет – 500 Ом.
Вольтамперная характеристика позволяет наглядно продемонстрировать пропорциональную (линейную) зависимость закона. На рисунке ниже составлен график для участка с сопротивлением равным одному Ому (почти как математическое представление закона Ома).
Изображение вольт-амперной характеристики, где R=1 Ом

Изображение вольт-амперной характеристики
Вертикальная ось графика отображает ток I (A), горизонтальная – напряжение U(В). Сам график представлен в виде прямой линии, которая наглядно отображает зависимость от сопротивления, которое остается неизменным. Например, при 12 В и 12 А «R» будет равно одному Ому (12 В/12 А).
Обратите внимание, что на приведенной вольтамперной характеристике отображены только положительные значения. Это указывает, что цепь рассчитана на протекание тока в одном направлении
Там где допускается обратное направление, график будет продолжен на отрицательные значения.
Заметим, что оборудование, вольт-амперная характеристика которого отображена в виде прямой линии, именуется — линейным. Этот же термин используется для обозначения и других параметров.
Помимо линейного оборудования, есть различные приборы, параметр «R» которых может меняться в зависимости от силы тока или приложенного напряжения. В этом случая для расчета зависимости нельзя использовать закон Ома. Оборудование такого типа называется нелинейным, соответственно, его вольт-амперные характеристики не будут отображены в виде прямых линий.


















































